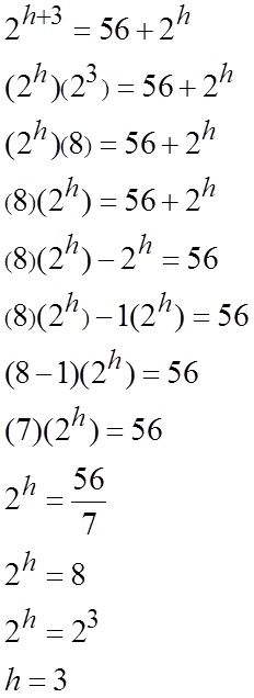
Nota Matematik Tambahan Tingkatan 4 Indeks Dan Logaritma. Nilai logaritma biasa dapat dicari dengan menggunakan kalkulator saintifik. Diberi bahawa p= 3r dan q = 3t, ungkapkan yang berikut dalam sebutan r dan/ atau t.

Diberi bahawa p= 3r dan q = 3t, ungkapkan yang berikut dalam sebutan r dan/ atau t.
Bab 5 indeks dan logaritma. Diberi bahawa p= 3r dan q = 3t, ungkapkan yang berikut dalam sebutan r dan/ atau t. Soalan yang dipilih (latih diri 4.2 soalan 1) adalah dari buku teks matematik tambahan tingkatan 4 muka surat 94. Sila komen di ruang komen di bawah untuk sebarang pertanyaan atau cadangan soalan, nyatakan latihan, mukasurat dan nombor soalan.
Tags:
- Nota Matematik Tingkatan 4 Pdf
- Formula Matematik Tambahan Tingkatan 4
- Matematik Tambahan Tingkatan 4 Bab 4
- Nota Matematik Tambahan Tingkatan 5
- Nota Matematik Tambahan Tingkatan 5 Kssm
- Nota Matematik Tambahan Tingkatan 5
- Nota Ringkas Matematik Tambahan Tingkatan 4
- Nota Matematik Tingkatan 3
- Nota Matematik Tahun 6
